肥胖疾病负担沉重,诺和诺德和礼来差异化管线布局
不同国家和地区对肥胖的诊断标准存在一定差异。根据世界卫生组织(WHO)的标准,BMI为25.0-29.9 kg/m2定义为超重,30 kg/m2及以上定义为肥胖。全球超重和肥胖问题日益严峻:2020年全球超重肥胖人数已达26亿,预计到2035年将攀升至41亿,这一增长趋势在儿童和成人群体中均持续显现。中国的情况尤为突出,2021年中国25岁及以上成人超重和肥胖人数已高达4.02亿,位居全球首位。若当前趋势持续,预计到2050年这一数字将突破6.27亿。超重和肥胖带来的疾病负担不容忽视。全球范围内,相关患病人群已超过30亿,这是导致多种慢性病和过早死亡的重要危险因素。据统计,中国肥胖患者中,脂肪性肝病合并症发生率高达81.1%,血脂异常、高血压和颈动脉斑块等合并症的发生率均超过30%。这些数据充分表明,超重和肥胖已成为中国乃至全球面临的重大公共卫生挑战。

图1:WHO和中国肥胖症诊断标准(成年人)及流行情况
图片来源:医药魔方
超重和肥胖人口快速增长、全民减重意识增强,推动全球减肥药物市场持续扩容。随着司美格鲁肽、替尔泊肽等明星药物的获批上市,在GLP-1赛道,诺和诺德和礼来已形成双雄争霸的局面。众多跨国药企纷纷快速切入减重领域,减重市场呈现百花齐放的局面。面对各企业的冲击,诺和诺德和礼来分别围绕单靶点、双靶点、三靶点形成差异化管线布局。诺和诺德在GLP-1外,重点关注amylin(单药和联合),多个药物正在积极开展临床试验;同时,通过license-in模式快速布局多靶点药物。而礼来则以替尔泊肽为先锋,占据多靶点和口服小分子细分赛道的全球第一研发位次。Retatrutide(也称为LY3437943,瑞他鲁肽)是全球首个也是唯一进入临床Ⅲ期的三靶点(GIPR/GLP-1R/GCGR)降糖减重药物。

图2:诺和诺德和礼来肥胖管线布局
图片来源:医药魔方
差异化三靶点激动剂,实现精准代谢调控
G蛋白偶联受体(G protein-coupled receptor, GPCR)是人体内最大的膜蛋白家族,在代谢调控中发挥着核心作用。胰高血糖素样肽-1受体(GLP-1R)、葡萄糖依赖性促胰岛素释放多肽受体(GIPR)、胰高血糖素受体(GCGR)三者在降低血糖和降低体重方面可发挥协同作用。此外,GIPR在脂质代谢方面发挥作用,GCGR则调控肝脏糖、脂质和蛋白质代谢。目前批准上市的药物包括GLP-1R激动剂司美格鲁肽(Semaglutide)和GLP-1R/GIPR双激动剂替尔泊肽(Tirzepatide)。Retatrutide则是通过激活GLP-1R/GIPR/GCGR三个靶点,为糖尿病和肥胖症治疗提供了一种全新的治疗方案。

图3:Semaglutide、Tirzepatide和Retatrutide的靶点激活作用
图片来源:DOI:10.1038/s41421-024-00700-0
Retatrutide是一种基于GIP肽骨架创新设计的单肽分子,包含39个氨基酸,分子式为C221H342N46O68。其肽主链序列在2、20和13位包含三个非天然氨基酸,并在17位氨基酸引入侧链结构,为Retatrutide在临床应用中展现出的卓越疗效奠定了坚实的分子结构。
l 2位Aib(α-氨基异丁酸):对抗多肽水解酶DPP-4(二肽基肽酶4)的水解,提高稳定性。
l 13位α-Me-Leu(α-甲基-L-亮氨酸):提高Retatrutide对GCGR和GIPR的活性。
l 20位Aib:优化Retatrutide对GLP-1R的活性和药代动力学特性。
17位赖氨酸残基引入侧链:引入AEEA-γ-Glu-C20 diacid侧链,通过与白蛋白结合延长药物半衰期。

图4:Retatrutide的结构
图片来源:DOI: 10.1016/j.cmet.2022.07.013
与相应的内源性多肽相比,Retatrutide展现出差异化的受体激活特性:其对GCGR和GLP-1R的激活效力相对温和,分别为内源性多肽的0.3倍和0.4倍;而对GIPR则表现出更强的激活能力,效力达到内源性多肽的8.9倍。这种巧妙设计的受体选择性特征,使Retatrutide能够在保持良好安全性的同时,实现更优化的代谢调控效果。

图5:Retatrutide对人GCGR、GLP-1R和GIPR的激动活性
图片来源:DOI: 10.1016/j.cmet.2022.07.013
48周减重24.2%,刷新全球记录
如果说礼来的替尔泊肽是“双靶点时代”的标杆,Retatrutide则是“三靶点时代”的降维打击者。GCGR的加入能直接刺激脂肪细胞分解,并增加肝脏的能量消耗,让“加速燃脂”成为可能。
Ⅱ期临床试验(NCT04881760)采用多中心、随机、双盲设计,纳入了338名BMI指数大于30 kg/m2,或BMI指数在27-30 kg/m2之间且至少患有一种体重相关合并症的成年人。参与者以2:1:1:1:1:2:2的比例随机分配接受皮下注射Retatrutide 1mg、4mg(初始剂量2mg)、4mg(初始剂量4mg)、8mg(初始剂量2mg)、8mg(初始剂量4mg)、12mg(初始剂量2mg))或安慰剂,每周一次,持续48周。

图6:NCT04881760试验方案设计
图片来源:DOI: 10.1038/s41591-024-03018-2
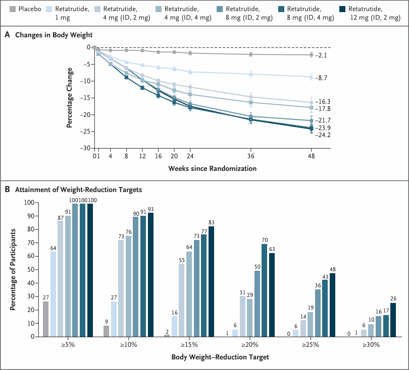
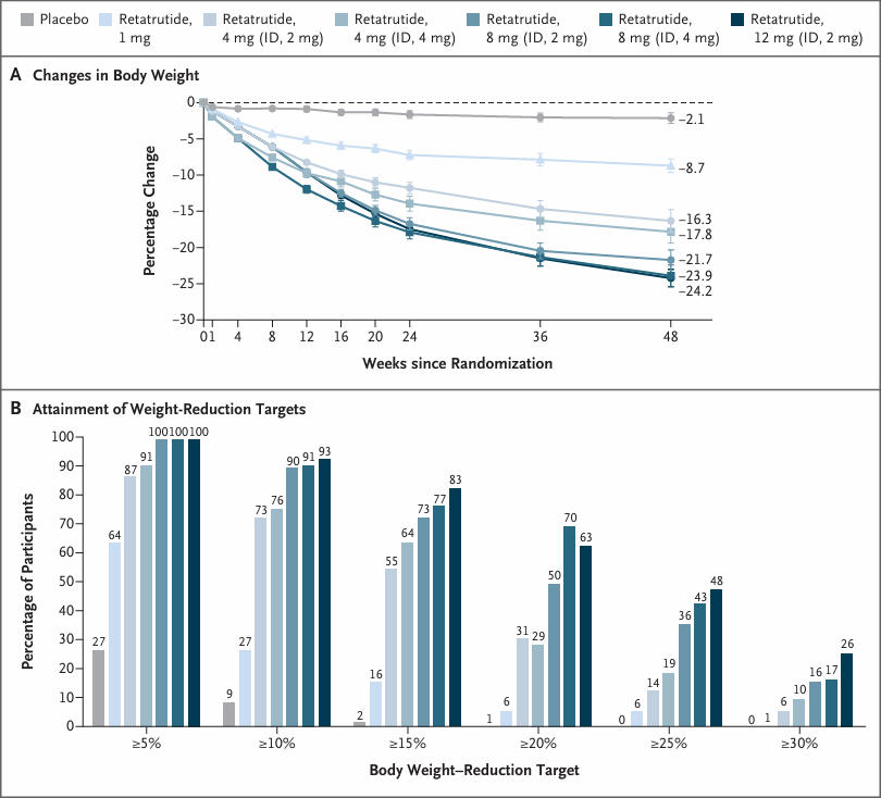
试验的主要终点和次要终点均全部达到。具体结果显示,治疗24周时,Retatrutide 1 mg、4 mg、8 mg、12 mg组患者的体重较基线分别平均降低7.2%、12.9%、17.3%、17.5%,显著优于安慰剂组的1.6%;治疗第48周时,各剂量组的降幅进一步扩大,分别达到8.7%、17.1%、22.8%、24.2%,而安慰剂组仅 2.1%。
此外,治疗48周时,Retatrutide 4 mg组分别有92%、75%和60%的受试者实现体重减少>5%、>10%、>15%;Retatrutide 8 mg组受试者的比例分别为100%、91%和75%; Retatrutide 12 mg组受试者的比例高达100%、93%和83%;而安慰剂组对应比列仅为27%、9%和2%。

图7:Retatrutide临床减重结果
图片来源:DOI: 10.1056/NEJMoa2301972
安全性方面,Retatrutide 组最常见的不良事件是胃肠道不良事件(如恶心、腹泻),其发生率呈剂量依赖性,严重程度大多为轻度至中度;通过采用较低起始剂量(2 mg vs 4 mg)可部分缓解此类副作用。此外,Retatrutide治疗期间观察到心率呈剂量依赖性增加,在24周时达到峰值,随后逐渐下降。总体而言,Retatrutide的安全性与同类药物基本一致,未出现新的安全性信号。
在针对不伴2型糖尿病肥胖受试者的Ⅲ期研究中,替尔泊肽15mg组受试者在接受72周治疗后体重平均降低20.9%(安慰剂组为-3.1%),Retatrutide的48周减重效果(-24.2%)已超越替尔泊肽的水平,创造了全球减重药物的新纪录。目前,Retatrutide和替尔泊肽的Ⅲ期头对头临床试验(适应症为肥胖)正在开展中。这场双靶点和三靶点激动剂之间的直接对决备受瞩目,期待Retatrutide能带来更多突破性数据。
GLP-1R/GIPR/GCGR三靶点激动剂竞争激烈,礼来领跑全球
GLP-1R/GIPR/GCGR三靶点激动剂凭借其独特的靶点协同效应,在较低剂量下即可实现卓越的疗效和安全性,已成为全球代谢性疾病治疗领域的新宠。医药魔方最新数据显示,目前全球范围内针对该靶点的在研管线已突破30条,呈现群雄逐鹿的竞争格局。在这场研发竞赛中,礼来的Retatrutide一马当先,成为目前唯一进入临床Ⅲ期的候选药物。诺和诺德通过与联邦制药合作引进的UBT251,以及中新医药自主研发的ZX2021紧随其后,均已推进至临床Ⅱ期阶段。国内企业和泽医药、民为生物以及恒瑞医药等也纷纷布局,相关项目已进入Ⅰ期临床研究。

图8:全球部分在研GLP-1R/GIPR/GCGR三靶点激动剂
图片来源:医药魔方
2019年2月,礼来登记了一项单中心Ⅰ期临床试验(NCT03841630),旨在评估LY3437943在健康受试者中的安全性、耐受性和单剂量的药代动力学递增研究,这是Retatrutide首次被披露。紧接着,2022年11月,礼来公布了该药物的首个临床研究数据;2023年5月即启动针对肥胖和心血管疾病适应症的首个注册性临床试验,展现了高效的临床研发效率。
目前,Retatrutide的临床开发已进入全面拓展阶段。在研的11个适应症均处于"Active"状态,其中6项关键适应症(2型糖尿病、肥胖、心血管疾病、动脉粥样硬化、慢性肾病及骨关节炎)已进入III期临床研究。该药物正在美国、欧洲和中国等国家地区同步推进34项临床试验,包括14项III期研究,彰显了礼来对其临床价值的充分信心。随着临床研究的持续推进,Retatrutide有望为代谢性疾病及相关并发症患者提供全新的治疗选择,同时也将进一步验证GLP-1R/GIPR/GCGR三靶点激动剂的广阔治疗潜力,为创新药物研发开辟新的方向。

图9:Retatrutide研发里程碑
图片来源:医药魔方
普康生物助力全球多肽药物研发
随着全球超重和肥胖人口持续攀升,全民健康管理意识显著增强,推动肥胖治疗市场进入高速发展期。据高盛(Goldman Sachs)预测,到2030年,全球肥胖市场可能会在2023年60亿美元的基础上增长16倍或以上,达到1000亿美元。在这一赛道上,药物研发经历了从司美格鲁肽的“单靶点探索”到替尔泊肽的“双靶点突破”,再到Retatrutide的“三靶点革命”的演进历程。每一次靶点突破都标志着人类对代谢调控认知的深化,也推动着“精准减重”理念向“高效代谢、科学燃脂”的目标持续迈进。
成都普康生物科技有限公司(https://cn.pu-kang.com/aboutus.html)成立于2008年,多年来深耕于多肽领域,凭借技术革新和产业升级,在多肽长效化侧链、多肽药物上游原料等领域已构筑了丰富的产品管线,成为细分市场的优质企业。普康公司已为全球超过200家生物技术企业提供产品和服务,成功应用于代谢、内分泌、抗感染、自身免疫性疾病等治疗领域,为改善药物体内过程、满足临床需求做出了重要贡献。